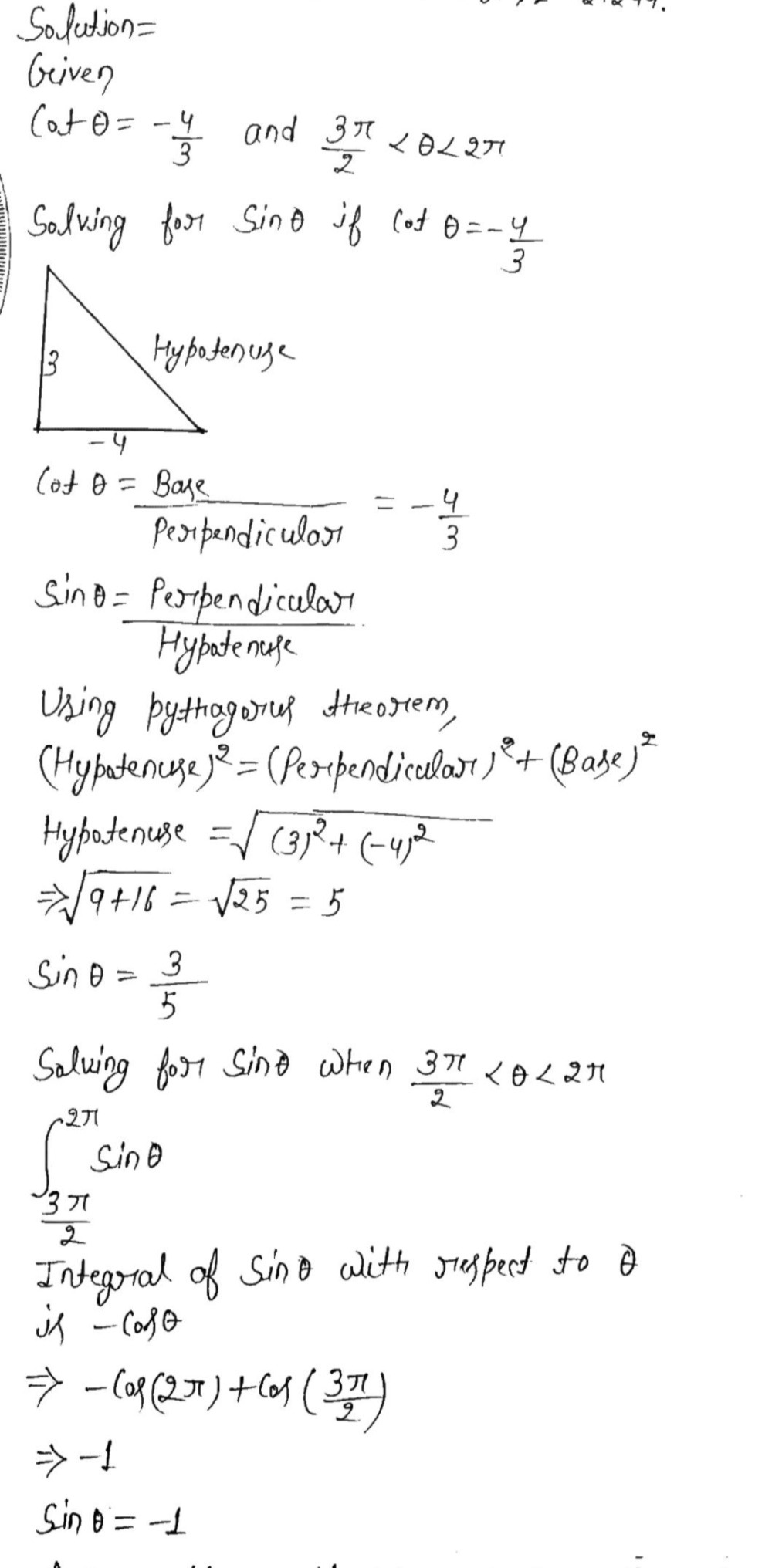
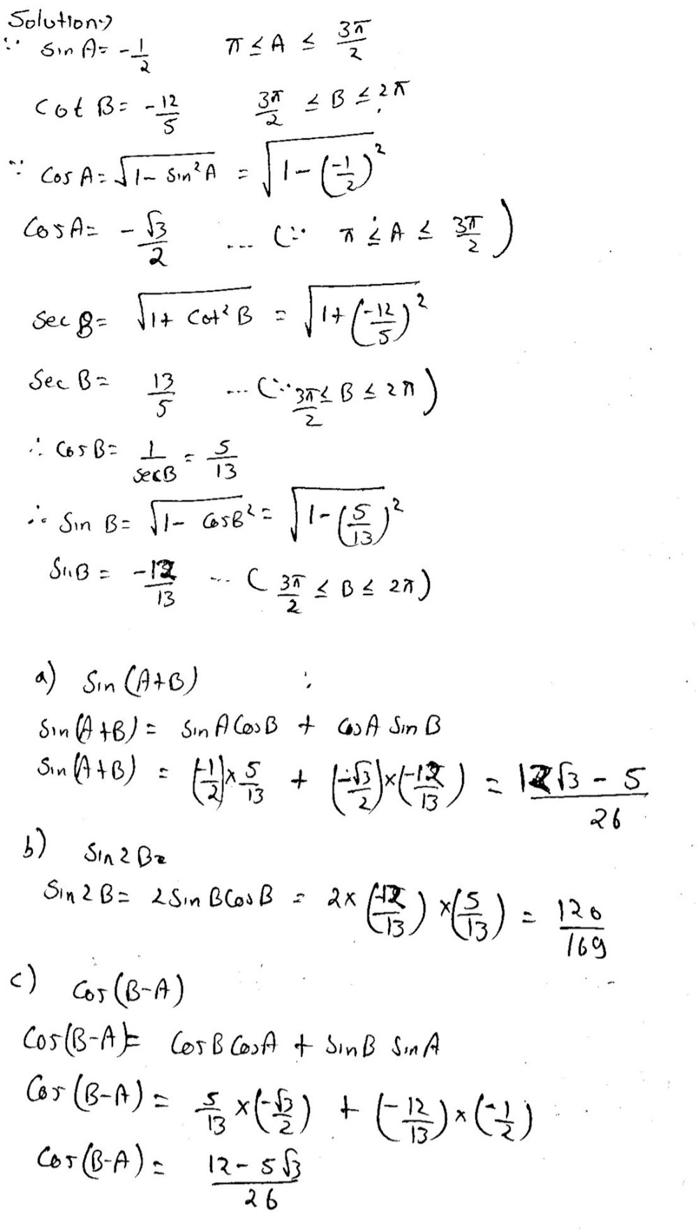
Trigonometric Functions 9 The objective function z = 4 x 1 5 x 2, subject to 2 x 1 x 2 ≥ 7, 2 x 1 3 x 2 ≤ 15, x 2 ≤ 3, x 1, x 2 ≥ 0 has minimum value at the point Linear Programming 10 If z 1 and z 2 are z coordinates of the points of trisection of the segment joining the points AThe values of the following trigonometric functions (a) sin 3 π 2 (b) cos 7 π 2 (c) tan 3 π 2 (d) csc − π 2 (e) sec 15 π (f) cot π 2 close Start your trial now! A transformer steps up an AC voltage from 230 V to 2300 V If the niiitiber of turns in the secondary coil is 1000, the number of turns in the primary coil Will be 3 The transformer ratio ofa transformer is 5 If the primary voltage of the transformer is 400 V, 50 Hz, the secondairy voltage will be 4
Cot 1 Cos Pi Cot 1 Sin Pi 2 Sin 1 Sin 2pi Chegg Com
Cot π/2 value
Cot π/2 value- Find the simplified form of cos13/5 cos x 4/5 sin x, x ∈ 3π/4,π/4 asked in Class XII Maths by nikita74 (1,017 points)Solve your math problems using our free math solver with stepbystep solutions Our math solver supports basic math, prealgebra, algebra, trigonometry, calculus and more



Math 113 Hw 9 Solutions
Start studying Trig Values and Trig Identities Learn vocabulary, terms, and more with flashcards, games, and other study toolsCot(π/2 – θ) = tan θ cot(π/2 – x) = tan x cot(π/2 – a) = tan a Cot 90 Plus Theta Let us derive the formula for cot 90 theta, ie cot(90° θ) cot(90° θ) = cot1 × 90° θ Here, 90° is multiplied by an odd number 1 So the trigonometric function will change to its reciprocal functionTextbook solution for Precalculus 9th Edition Michael Sullivan Chapter 62 Problem 24AYU We have stepbystep solutions for your textbooks written by Bartleby experts!
Given tanΘ= 5/12 and π/2Find the Exact Value cot ( (5pi)/2) cot ( 5π 2) cot ( 5 π 2) Remove full rotations of 2π 2 π until the angle is between 0 0 and 2π 2 π cot( π 2) cot ( π 2) The exact value of cot(π 2) cot ( π Given 0 ≤ α₁,α₂,,αₙ ≤ π/2 and (cot α₁)(cot α₂)(cot αₙ) = 1 To find The maximum value of (cos α₁)(cos α₂)(cosαₙ) Solution(cot α₁)(cot α₂)(cot
Cot π/2 Value in Radians / Degrees Cot Values for π/2 Use this simple cot calculator to calculate the cot value for π/2 in radians / degrees The Trignometric Table of sin, cos, tan, cosec, sec, cot is useful to learn the common angles of trigonometrical ratios from 0° to 360° Select degrees or radians in the drop down box and calculate the exact cot π/2 value easilyWelcome to cot 273, our post aboutthe cotangent of 273 For the cotangent of 273 we use the abbreviation cot for the trigonometric function and write it as cot 273 If you have been looking for what is cot 273, or if you have been wondering about cot 273 radians in degrees, then you are right here, too In this post you can find the cot 273 value, along with identities cot((3pi)/2) = 0 As you know, cot(x) = cos(x) / sin(x) Thus, you can compute the value of cos((3pi)/2) /sin((3pi)/2) instead Let's take a look at the sin and cos functions As you can see, sin((3pi)/2) = 1 and cos((3pi)/2) = 0 Thus, cot((3pi)/2) = 0 / (1) = 0



The Values Of Cot Pi 3 Cot Pi 4 Cot Pi 6 Are In



Tan 1 X Cot 1 X Pi 2 Arctan X Arccot X Pi 2 Youtube
Finding the exact value of the sine, cosine, or tangent of an angle is often easier if we can rewrite the given angle in terms of two angles that have known trigonometric values We can use the special angles, which we can review in the unit circle shown in Figure 2 = cot (π 2 − π 9) = cot the cot function may be written as cotx = cosx sinx hence cot( π 2) = cos(π 2) sin(π 2) = 0 1 = 0 Answer linkA 1 B 1 C 0 D Not defined We made it much easier for you to find exactly what you're looking for on Sciemce



Ex 3 3 9 Prove Cos 3pi 2 X Cos 2pi X Cot 3pi 2 X



Right Triangle Trigonometry Ppt Download
√3 2 details let x = π/3 and y = π/4 cot ( x y)= ( cot x tan y)/( 1 cot xtan y) cot ( 7π/12) = cot (π/4 π/3) cot x = cot π/4 =1 tan y = tan π/3Find the value of tan−1−1√3cot−11√3tan−1sin−π2 We have tan−1−1√3cot−11√3tan−1sin−π2=tan−1tan5π6cot−1cotπ3tan−1−1=tan−1tanπ−π6cot−1cotπ3 tan− ⎡ ⎢ ⎢ ⎢ ⎣ ∵ t a n − 1 (t a n x) = x, x ∈ (− π 2 cot π 22 cot1 3 = tan 2 cot1 3 Let 2 cot1 3 = 2 x such that tan 2 cot1 3 = tan 2 x cotx = 3 tanx = 1 3 = tan π 6 So x = π 6 Now subtituting back we get , tan 2 cot



Prove That Cot Pi 8 Sqrt 2 1



How Do You Find The Value Of Cot 3pi 2 Socratic
Given sec(α)= 25/ and 0 < α < π/2, determine the exact values of the remaining trigonometric functions (Note Do not use decimals in your answer) a) sin(a)= b) cos(a)= c) tan(a)= d) csc(a)= e) cot Cot π/2 Value in Radians / Degrees Cot Values for π/2 Use this simple cot calculator to calculate the cot value for π/2 in radians / degrees The Trignometric Table of sin, cos, tan, cosec, sec, cot is useful to learn the common angles of trigonometrical ratios from 0° to 360° Select degrees or radians in the drop down box and calculate the exact cot π/2 value easily α Trigonometric Functions are formed when trigonometric ratios are studied in terms of radian measure for any angle (0, 30, 90, 180, 270)These are also defined in terms of sine and cosine functions In this article, we will provide you with all the details on trigonometric functions such as value in degree, radians, complete trigonometric table and other relevant information



Y Log Cot Pi 4 X 2 Find Y Brainly In



If Cosec A P Q P Q Then Cot P 4 A 2 Is Equal Askiitians
Misc 10 Prove cot−1 ((√(1 sin〖x 〗 ) √(1 − sinx ))/(√(1 〖 sin〗x ) − √(1 − sinx ))) = 𝑥/2 , x ∈ (0, 𝜋/4) First, finding √(1sin𝑥 ) & √(1−sin𝑥 ) separately We know that sin 2x = 2 sin x cos x Replace x by 𝑥/2 sin (2𝑥/2) = 2 sin 𝑥/2 cos 𝑥/2 Adding 1 both sides 1 sinWelcome to cot 236, our post aboutthe cotangent of 236 For the cotangent of 236 we use the abbreviation cot for the trigonometric function and write it as cot 236 If you have been looking for what is cot 236, or if you have been wondering about cot 236 radians in degrees, then you are right here, too In this post you can find the cot 236 value, along with identities If cot {(π / 2) – θ} = √3 Answer I am from UP you Learn to value yourself, which means fight for your happiness



Sin Pi 2 X Cot Pi 2 X Sinx Trigonometric Identities With Related Acute Angle Youtube



Cos Pi X Cos X Sin Pi X Cos Pi 2 X Cot 2 X Youtube
The exact value of cot(π2) cot ( π 2) is 0 Why is sec270 undefined?Apply the reference angle by finding the angle with equivalent trig values in the first quadrant Make the expression negative because cotangent is negative in the second quadrant Value of sin, cos, tan repeats after 2π Last updated at Dec 6, 18 by Teachoo sin (2π x) = sin x cos (2π x) = cos x tan (2π x) = tan x Here x is an acute angle and 2π = 2 × 180° = 360° Let's see why there are same Suppose x = 390°



Solve The Equations Tan Picottheta Cot Pitantheta



The Value Of Cot Pi 4 Theta Cot Pi 4 Theta Is Youtube
The value of cot1 (√1sin x√1sin x/√1sin x√1sin x) (0 < x < (π/2)) is (A) π(x/2) (B) 2π x (x/2) (D) (x/2)π Check Answer andFull Limits playlist https//wwwyoutubecom/playlist?list=PLQHaGos0gnrIvCSW_9PVGVv1W4dgelJfEvaluate 〖lim〗┬(x→a⁻) {√(a^2x^2 )cot(π/2 √((ax)/(ax tan (u) = a/b = cot (π/2 – u) The three formulas and their analogues secant(u), cosecant(u), and cotangent(u) state that the function value of variable u is equal to the cofunction of the complementary angle π/2 – u



Cot Pi X Cot Pi Theta Youtube



If Tan Pcosx Cot Psinx Then Prove That Cos X P 4 1 2 2 Brainly In
Graphs of cot x, cot^1 x You can clearly see two graphs one is in red color and second one is in green colorRed graph is the locus of the function f (x)=cot〖 (nx)〗 and green graph is the locus of the function g (x)=cot^ (1)〖 (nx)〗 you can change the value of n ucotg slide bar You can also see 10 black pointsIn mathematics, the trigonometric functions (also called circular functions, angle functions or goniometric functions) are real functions which relate an angle of a rightangled triangle to ratios of two side lengths They are widely used in all sciences that are related to geometry, such as navigation, solid mechanics, celestial mechanics, geodesy, and many othersList of trigonometric identities In mathematics, trigonometric identities are equalities that involve trigonometric functions and are true for every value of the occurring variables for which both sides of the equality are defined Geometrically, these are identities involving certain functions of



Math 113 Hw 9 Solutions



Solve Each Equation For 0 Q 8 2 P 2 1 C Gauthmath
If Sin 1 X Cot 1 1 2 Pi 2 Then X Is If sin 1 x cot 1 (1 / 2) = π / 2, then x is 1) 0 2) 1 / √5This discussion on Find the value of 2cos((π/2)−θ)3sin((π/2)−θ)−(3sinθ2cosθ)a)cosθ sinθb)sinθ cosθc)sinθ cosθdCalculate the value of the cot of 15 ° To enter an angle in radians, enter cot(15RAD) cot(15 °) = cotangent The cotangent cot(A) is the reciprocal of tan(A);



Cot 1 Cos Pi Cot 1 Sin Pi 2 Sin 1 Sin 2pi Chegg Com



Cofunction Identities In Trigonometry With Proof And Examples Owlcation
Ie the ratio of If tan^1 (√3) cot^1 x = π/2, then find x askedin Mathematicsby Afreen(307kpoints) inverse trigonometric functions cbse class12 Welcome to Sarthaks eConnect A unique platform where students can interact with teachers/experts/students to get solutions to their queries12cos2x/2−1 ⎠⎞ ⇒ cot−1(sinx/2cosx/2 ) ⇒ cot−1(−cotx/2) ⇒ cot−1(cot(π−x/2))



2 Given That Cot 8 2 5 And P 8 0 Gauthmath



1
Explanation Secant is defined as 1cos(x) Since 270 represents the point (0,−1) , you have cos( 270 °)=0Inverse of a function If function f X → Y such that f(x) = y, is oneone and onto, then there exists a unique function g Y → X defined by g(y) = x, where x ∈ X and y=f(x), y ∈ Y The function, "g," is called the "inverse of f" and is denoted by f –1 The concepts of the inverse of a function, and the domain and range of trigonometric functions, we find the inverse trigonometricWe have, 3tan−1xcot−1x= π⇒ 2tan−1 x(tan−1xcot−1x)= π⇒ 2tan−1 x 2π = π, ∵ tan−1xcot−1x = 2π is an identity⇒ 2tan−1 x= π− 2π = 2π ⇒ tan−1x = 4π ∴ x= tan 4π =1



Cosec P 2 Theta Xcos Theta Cot Theta P 2 Theta Sin P 2 Theta Find Value Of X Brainly In



The Value Of Cot P 4 8 Cot P 4 8 Is Brainly In
Find x from the following equation x cot(π/2 θ) tan(π/2 θ) sin θ cosec(π/2 θ) = 0 ← Prev Question Next Question → 0 votes When manipulating trig functions it's almost always worth it to use their complex extensions (which are valid for all x) tan ( π / 2 − x) = sin ( π / 2 − x) cos ( π / 2 − x) = 1 i e i ( π / 2 − x) − e − i ( π / 2 − x) e i ( π / 2 − x) e − i ( π / 2 − x)



Ex 2 2 21 Find Tan 1 Root 3 Cot 1 Root 3 Chapter 2 Teachoo



Find The Value Of Cot Pi Cot3pi Cot 5pi Cot 7pi Cot 9pi Brainly In



Ex 3 2 10 Find Value Of Cot 15pi 4 Trigonometric Functions



Cot Pi 12 Cot 3pi 12 Cos 9pi 12 Cos 11pi 12



The Other Trigonometric Functions Precalculus Ii



Basic Trigonometric Functions Trigonometry Socratic



Ex 2 2 Find Sin Pi 3 Sin 1 1 2 Class 12 Ncert



Cot Pi 2 2cot 1 Sqrt3



Evaluate Lim X Pi 2 Cot X Pi 2 X



Cos Pi 2



Prove That Sin Pi X Cos Pi2 X Tan 3pi2 X Cot 2pi X Sin 2pi X Cos 2pi X X Sin 3pi2 X N Pi Pi 4 Where N N



Find The Value Of The Following A Sin Pi 6 B Cos Pi 4 C Tan Pi 3 Youtube



Cot Pi Cot 3pi Cot 5pi Cot 7pi Cot 9pi Cot 15pi



Question 5 Solve The Chegg Com



How Do You Find The Value Of Cot Pi 2 Youtube



If Tan Theta 3 4 And Theta Is Not In First Quadrant Then Sin Pi 2 Theta Cot Pi Theta Youtube



The Value Of Int Pi 2 Pi 2 Cot 1x Dx



Prove That Tex Cot Frac Pi 4 Theta Frac Cos 2 Theta 1 Sin 2 Theta Tex And Hence Brainly In



Find The Value Of Cot Pi 24 Youtube



Cos Pi 2 Theta Sec Theta Tan Pi Theta Sec 2pi Theta Sin Pi Theta Cot Pi 2 Theta Maths Trigonometric Functions Meritnation Com



In This Problem We Will Give A Solution To Basel S Chegg Com



Show That The Value Of The Following Expression Is Independent Of Theta Cot 2 Theta 1 Cot Theta 1 Maths Trigonometric Functions Meritnation Com



What Are The Values Of Cos A Sin A And Tan A Cot A When A Has The Values1 Pi3 2 2pi3 3 5pi4 4 7pi4 And 5 11pi3



Example 22 Solve Tan 2x Cot X Pi 3 Teachoo Examples



Find The Exact Value Of The Trigonometric Function Gauthmath



Packet 21 Trigonometric Identities Ppt Download



6 Find The Exact Values Of Sin Cos 1 2 Chegg Com



Find The Values Of Sin Pi 8 Cos Pi 8 Sec Pi 8 Cosec Pi 8 Tan Pi 8 And Cot Pi Youtube



Cot P Cot 3p Cot5p Cot7p Cot 9p 1 Prove Trigonometric Values Sci Pi



If Tan Inverse Root 3 Cot Inverse X P 2 Find The Value Of X Brainly In



Ex 2 1 14 Find Value Of Tan 1 Root 3 Sec 1 2 Ex 2 1



Sin Pi X Cos Pi 2 X Tan 3pi 2 X Cot 2pi X Sin 2pi X Cos 2pi X C O S E C X Sin 3pi 2 X Youtube



How Do You Determine The Exact Value For Cos Pi 6 Csc Pi 3 Sin Pi 4 Socratic



List Of Trigonometric Identities Wikipedia



Prove That Tan Pi2 X Sec Pi X Sin X Sin Pi X Cot 2pi X Pi2 X 1



Frac Sin 8 P Cot 8 Frac 7 P 2 Sec 8 Gauthmath



Cot Pi 4 X Cot Pi 4 X 4 Youtube



The Value Of Tan 2 Pi 3 4 Cos 2 Pi 4 3 Sec 2 Pi 6 Cot 2 Pi 2 Is Youtube



If Tan Pi Cos Theta Cot Pi Sin Theta Then Prove Cos Theta Pi 4 1 2 Sqrt2 Youtube



How Do You Find The Exact Value Of Cos 19pi 6 Socratic



Sin 8 5 13 And Frac P 2 8 P Then Gauthmath



1



Question Video Using Periodic And Cofunction Identities To Simplify A Trigonometric Expression Nagwa



Ex 3 3 3 Prove That Cot2 Pi 6 Cosec 5pi 6 3 Tan2 Pi 6 6



Ex Simplify Tan Pi 2 U Using Sine And Cosine Difference Identity Youtube



Sine Wikipedia



Y Log Cot Pi 4 X 2 Find Y Brainly In



3cot 1 1 2 Sqrt 3 Cot 1 X Pi 2



Cnbcinfo Sin Pi 3 Cos Pi 3 Tan Pi 3 Sec Pi 3 Cosec Pi 3 Cot



Cofunction Identities In Trigonometry With Proof And Examples Owlcation



2 Given Sin A 1 3 P A Frac 3 P Gauthmath



Cot Pi 4 Theta Cot Pi 4 Theta



Find The Exact Value Of The Indicated Trigonometri Gauthmath



Possible Points 2 Find The Exact Value Of Sin Gauthmath



Example 10 Prove That 3sin Pi 6 Sec Pi 3 4 Sin 5pi 6



Find The Value Of The Following Cot Pi 2 2cot 1



Find The Value Of Cot Pi 24



Solve The Equation Cot 1 X Tan 1 3 Pi 2 Youtube



Example 27 Find Value Of Tan Pi 8 Chapter 3 Class 11



Find The Exact Value Of Tan Frac 7 P 2 And Cot Gauthmath



Tan P 2 X Cot X 101 Guide For Dummies Youtube



1



Cot Pi 2 X Cot Pi 2 Theta Youtube



Find The Exact Value Of Each Trigonometric Function Chegg Com



Find The Value Of Cot Pi 24



Consider The Following Sin U 9 41 Pi 2 U Pi Chegg Com



The Number Of Values Of Theta In The Interval Pi 2 Pi 2 Such That Theta Ne N Pi 5 For N 0 1 2 And Tan Theta Cot 5theta As



The Value Of Cos 1 Cot Pi 2 Cos 1 Sin 2pi



Prove That 3sin Pi 6 Sec Pi 3 4sin 5pi 6 Cot Pi 4 1



Prove Cos 2pi X Cosec 4pi X Tan Pi 2 X Sec Pi 2 X Cosx Cot Pi X 1 Brainly In



Inverse Trigonometric Functions General Solution Of Trigonometric Equations Pdf Dwrean Lhpsh



The Value Of Cos 1 Cot Pi 2 Cos 1 Sin 2pi 3 Is



The Value Of T A Nthetasin Pi 2 Theta Cos Pi 2 Theta Is 1 B 1 C 1 2sin2theta D None Of These



The Value Of Cot Pi 4 2 Cot 1 3 Is



Inverse Trig Identity Arctan X Arccot X P 2 Peakd



Cot Pi 2 2 Cot 1 Sqrt 3 क म न ल ख ए



Ex 3 3 9 Prove Cos 3pi 2 X Cos 2pi X Cot 3pi 2 X



1



Find Each Value Tofour Decimal Places 1 Sin 30 Gauthmath



The Value Of 1 Sqrt 2 Sin Pi 6 Cos Pi 4 Cot Pi 3 Sec Pi 6 5tan Pi 4 12sin Pi 2 Is Equal To



Example 22 Solve Tan 2x Cot X Pi 3 Teachoo Examples



Prove That 1 Cot 2 P 6 Cosec 5p 6 3 Tan 2p 6 62 2 Sin 2 3p 4 2 Cos 2 P 4 3 Sec 2 P 6 10 Brainly In


0 件のコメント:
コメントを投稿